MOSFET的Datasheet
首先來介紹一下Datasheet是什么意思吧。它一般指數據表的意思,MOSFET的Datasheet就是MOS管的數據表,即是規格書。
所有功率MOS制造廠商都會提供每種型號產品的詳細說明書。說明書用來說明各種產品的性能,這對于在不同廠商之間選擇相同規格的器件很有用。
在一些情況下,不同廠商所提供的參數所依據的條件可能有微妙的區別,尤其在一些非重要參數例如切換時間。另外,數據說明書所包含的信息不一定和應用相關聯。因此在使用說明書和選擇相同規格的器件時需要特別當心以及要對數據的解釋有確切的了解。本文以BUK553-100A為例,這是一種100V邏輯電平MOS管。
功率MOS數據說明書所包含的信息,數據說明書一般由以下八個部分組成:
1、快速參考數據
2、讀懂極限值
3、靜態特性
4、動態特性
5、反向二極管極限值及特性
6、雪崩極限值
7、安全運行區域
8、測量電流
下面我們將一一介紹這8個組成部分。
1、快速參考數據
這些數據作為迅速選擇的參考。包括器件的關鍵參數,這樣工程師就能迅速判斷它是否為合適的器件。在所包括的五個參數中,最重要的是漏源電壓VDS是和開啟狀態下的漏源阻抗RDS(ON)。VDS是器件在斷開狀態下漏極和源極所能承受的最大電壓。RDS( ON)是器件在給定柵源電壓以及25℃的結溫這兩個條件下最大的開啟阻抗(RDS(ON)由溫度所決定,見其靜態特性部分) 。這兩個參數可以說明器件最關鍵的性能。
漏極電流值(ID)和總耗散功率都在這部分給出 。這些數據必須認真對待因為在實際應用中數據說明書的給定的條件很難達到(見極限值部分)。在大多數應用中,可用的dc電流要比快速參考說明中提供的值要低。限于所用的散熱裝置,大多數工程師所能接受的典型功率消耗要小于20W(對于單獨器件)。結溫(TJ)通常給出的是150℃或者175℃。器件內部溫度不建議超過這個值。
2、讀懂極限值
這個表格給出六個參數的絕對最大值。器件可以在此值運行但是不能超出這個值,一旦超出將會對器件發生損壞。
漏源電壓和漏柵電壓有同樣的值。給出的數據為可以加在各相應端所使用的最大電壓。柵源電壓VGS,給出在柵極和源極之間允許加的最大電壓。一旦超過這個電壓值,即使在極短的時間內也會對柵極氧化層產生永久性損害。給出的兩個直流漏極電流值ID,一個是在背板溫度為25℃時,另一個是在背板溫度為100℃時。再且這些電流值不代表在運行過程中能夠達到。當背板溫度在所引述的值時,這些電流值將會使得結溫達到最大值。因此最大電流降額作為背板溫度的函數,所引用的兩個值曲線是降額曲線上的兩個點(見圖一)。


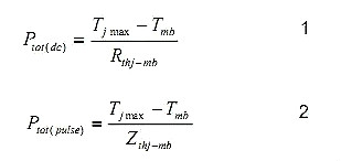
引述的第三個電流值是脈沖峰值IDM。功率MOS器件總的來說都有很強的峰流通過能力。連接管腳和芯片上的內部接線決定該極限值。IDM所能應用的脈沖寬度取決于熱考慮(見計算電流的部分)??傁墓β剩琍tot,以及最大結溫在快速參考數據中也已說明。Ptot的值在等式1中以商的形式給出(見安全運行區部分)。所引述的條件是襯底溫度保持在25℃。例如,BUK553- 100A的Ptot值為75W,消耗這個功率使襯底溫度保持在25℃是極大的挑戰。襯底溫度越高,能耗散的總耗散功率越低。
很顯然如果襯底溫度等于最大允許的結溫時,沒有功率可被耗散掉。如圖2的降額曲線,此器件的結溫為175℃。


引述的存儲溫度通常在-40/-55℃ 和+150/+175℃之間。存儲溫度和結溫是由我們質量部門經過廣泛的可靠性測量后所指定的。超過所給出的溫度將會使可靠性降低。
絕緣封裝時,背板(硅芯片安裝在上面的金屬層)完全壓縮在塑料中。因此無法給出結點到背板的熱阻值,取代之是結點到散熱片的Rthj-hs,它表現出散熱片復合的作用。當比較絕緣封裝和非絕緣封裝型號的熱阻時必須特別小心。例:非絕緣BUK553-100A的Rthj-mb為2K/W。絕緣BUK543-100A的Rthj-hs為5K/W。它們有同樣的晶體但是所封裝不同。初比較時,非絕緣的型號似乎可以承受更大功率(即電流)。然而BUK553-100A在結點到散熱片的熱阻測量中, 這還包括背板和散熱片之間的額外熱阻。一些絕緣措施用在大多數情況中, 例如云母墊圈,其背板到散熱片的熱阻為2K/W。因此結點到散熱片的總熱阻為Rthj-hs(非絕緣型)=Rthj-mb+Rthmb-hs =4K/W,可以看出實際中絕緣和非絕緣型的型號區別并不大。
3、靜態特性
這個部分的參數描述擊穿電壓,開啟電壓,泄漏電流,開啟阻抗的特性。漏源擊穿電壓比漏源電壓的極限值要大。它可以用曲線跟蹤儀測量,當柵極端和源極端短路時,它是漏極電流為250uA時的電壓。柵極開啟電壓VGS(TO),表示的是使器件達到導通狀態時柵極(相對于源極)所需要的電壓。對于邏輯電平器件來說,柵極開啟電壓通常在1.0和2.0V間;對于標準器件則是2.1到4V之間。


圖3的表示漏極電流為VGS的函數說明典型的傳輸特性。圖4表示柵極開啟電壓隨著結溫而變化。在次開啟傳導時,圖5表示在VGS電平低于門檻時漏極電流怎樣隨著柵源電壓變化。
斷電狀態時泄漏電流是漏源和柵源在各自所能承受最大電壓情況下所規定的。注意到盡管柵源泄漏電流以十億分之一安培為單位表示,它們的值遵循兆分之一安培而變化。






漏源導通電阻具有重要意義。它是當邏輯電平場效應管柵源電壓5V時的值;標準器件時柵源電壓為10V時的值。在10V以上增加柵源電壓時,標準MOS管的導通電阻沒有明顯減少。減少柵極電壓然而可以增加導通電阻。對于邏輯電平場效應管來說,BUK553-100A,在柵極電壓為5V的情況下給出導通電阻,然而當柵極電壓到達10V時,導通電阻將明顯減少,這是由于其輸出特性圖6和導通電阻特性圖7決定(BUK553-100A)。
(插圖5)
4、動態特性
包括跨導,電容以及轉換時間。正向跨導 Gfs,是增益參數,它表示在器件飽和狀態下,柵極電壓的變化引起的漏極電流的變化(MOSFET的飽和特性參考輸出特性的平面部分)。
圖9表示BUK553-100A中作為漏極電流函數的Gfs是怎樣變化的。


電容被大多數制造廠商分成輸入電容,輸出電容以及反饋電容。所引述的值是在漏源電壓為25V情況下的。僅表明了一部分性質因為MOSFET電容值是依賴于電壓值的,當電壓降低時電容升高。
圖10表明電容隨電壓的變化情況。電容數值的作用是有限的。輸入電容值只給出一個大概的驅動電路所需的充電說明??赡軚艠O充電信息更為有用。如圖11給出的例子。它表明為達到一個特定的柵源電壓柵極所必須充的電量。


例如把BUK553-100A充電到VGS=5V,漏源電壓為80V,所需12.4nc的電量。這樣的充電速度可以滿足柵極電路電流的需要。
阻抗負載切換時間也被許多制造廠商所引述,然而必須極其小心地比較不同制造廠商所給的數據說明。功率MOSFET的切換速度只受電路以及封裝自感限制,電路中的實際速度是由內部電容被驅動電路充電和放電的速度所決定的。切換時間因此很大程度上取決于所處的電路環境;一個低的柵極驅動電阻將會提供更短的切換時間反之亦然。飛利浦數據說明中所有的功率MOS的切換時間都是在柵源之間放一50W電阻的情況下測得的。這個器件是由一源極阻抗為50W的脈沖發生器切換的??偟臇艠O驅動電路的阻抗因此為25。


動態特性也包括典型封裝自感,當電路中的切換速度很快時,即dI/dt值很大時,自感變得非常重要。例如,在60ns中變化30A給出的dI/dt為0.5 A/ns,源極引線的典型自感為7.5nH,由V=-L*dI/dt得出從內部源極(內部連接源極的導線與芯片結合的部分)到外部引腳的電壓為3.75V,正常標準器件被柵源電壓為10V所驅動時,實際半導體上柵源電壓在開啟狀態下只有6.25V,因此切換速度最終被封裝自感所限制。
5、反向二極管極限值及特性
反向二極管是垂直結構的功率MOSFET固有的,在一些電路中這種二極管有重要功能,因此這種二極管的特性需要詳細說明。這種二極管里允許通過的正向電流被敘述成“連續反向漏極電流” 和“ 脈沖反向漏極電流”。如圖12,順向壓降也是特性之一。這種二極管的切換能力根據反向恢復參數trr和Qrr給出。


因為二極管作為雙極器件,它受到電荷儲存的影響。因為二極管要斷開電荷必須清除。反向恢復電荷由Qrr給出,反向恢復時間由trr,給出,注意trr完全由電路中-dIf/dt決定,它在數據說明書中的值為100A/s。
6、雪崩極限值
這個參數是產品處理瞬時過壓能力的指示。如果電壓超過漏源極限電壓將導致器件處在雪崩狀態。這個強度是根據背板溫度為25℃時漏極接不鉗位電感,器件非重復關斷所能承受的能量來定義的。這個能量水平在背板溫度越高時越小,如圖13。


無重復意味著電路不應設計成使功率MOS重復處于雪崩狀態。運行該能力只允許意外的電路條件導致瞬時過壓發生時,器件能夠幸免損壞。
飛利浦的新一代中壓MOSFET也具有重復雪崩能。根據背板溫度為25℃,MOSFET漏極接無鉗位電感反復切換所能承受的能量,它表明器件能夠經得住反復瞬間漂移到雪崩擊穿狀態,并且結溫不超過極限值。
7、安全運行區域
每種功率MOS都給出其安全運行區域。不同于雙極型晶體管,功率MOS不會表現出二次擊穿機制,因此安全運行區域只簡單從導致結溫達到最大允許值時的耗散功率定義。圖14表示的是BUK553-100的安全區域。這個區域受有限的漏源電壓和有限的電流值以及不同脈沖周期的恒定功率曲線所限制。這里都是以背板溫度為25℃為前提的。恒定功率曲線表示使結溫升高Tjmax-Tmb的功率。Tjmax為175℃的器件的Tjmax–Tmb等于150℃;Tjmax為150℃ 的器件的Tjmax–Tmb等于125℃。很顯然在多數應用中背板溫度高于25℃,因此安全區域面積會減少,可以很簡單的測算最大功率。


直流曲線以結點到背板的熱阻(在絕緣封裝的情況下結點到散熱片)代入等式1。脈沖運行曲線假定為單次開關,用瞬時熱阻值代替熱阻值。每種型號的瞬時熱阻都以圖表數據表示,如圖15。為測算單次開關耗散功率的能力,需要的脈沖寬度值從曲線D=0開始,代入等式2。


下面將是如何計算1ms脈沖時最大耗散功率的例子。
例1計算在Tjmax為175℃,Tmb為25℃時最大耗散功率。這個功率等于圖14安全運行區域1ms曲線下的面積。例2是說明當Tmb高于 25℃時,所耗散的功率是如何減少的。


469W這條線可以在圖14上觀察到。(4.69A@100V和15.6A@30V等)
例2:BUK553-100A在75℃,1ms的脈沖下,Zth= 0.32K/W, Tjmax=175℃,Tmb =75℃


因此當背板溫度為75℃時,最大允許耗散的功率與25℃時的值比較減少了1/3 。
8、測量電流
數據表中引述的電流額直接來源于最大耗散功率:


用等式1代替Ptot,得等式4:


為了測得一個更真實的電流,有必要用所需運行時結溫代替等式4中的Tjmax以及用實際工作值代替Tmb,一般來說建議不要將器件一直運行在Tjmax狀態下。為了達到長期的穩定性,125℃是比較合適的結點運行溫度。Tmb在75℃和110℃之間的值也是較為典型。
拿BUK553-100A來說,它有一個13A的電源電流級別。設Tmb為100℃,Tj為125℃時,器件電流計算如下:
從圖8得:


Rthj-mb=2K/W代入等式4得:


因此器件在這些條件下傳導電流為6.3A即12.5W的耗散功率。
烜芯微專業制造二三極管,MOS管,20年,工廠直銷省20%,1500家電路電器生產企業選用,專業的工程師幫您穩定好每一批產品,如果您有遇到什么需要幫助解決的,可以點擊右邊的工程師,或者點擊銷售經理給您精準的報價以及產品介紹
烜芯微專業制造二三極管,MOS管,20年,工廠直銷省20%,1500家電路電器生產企業選用,專業的工程師幫您穩定好每一批產品,如果您有遇到什么需要幫助解決的,可以點擊右邊的工程師,或者點擊銷售經理給您精準的報價以及產品介紹

