簡介:工頻正弦半波的全導通電流在一個整周期內的平均值,是在環境溫度為40℃穩定結溫情況下不超過額定值,所允許的最大平均電流作為該器件的額定電流。用最大通態平均電流標定晶閘管的額定電流是由于整流輸出電流需用平均電流去衡量,但是器件的結溫是由有效值決定的。對于同一個有效值,不同的電流波形,其平均值不一樣,因此選用一個晶閘管,要根據使用的電流波形計算出允許使用的電流平均值。
(4) 通態平均電流IT(AV)(簡寫為ITa)
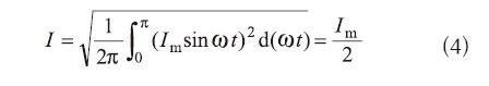
設單相工頻半波電流峰值為IM時波形,如圖6所示。通態平均電流為:


正弦半波電流有效值:


晶閘管有效值與通態平均電流比值為:


根據有效值相等原則來計算晶閘管流過其它波形電流時的允許平均電流Id。有效值與平均值的比為波形系數:


選用晶閘管時應選晶閘管的通態平均電流ITa為其正常使用電流平均值的1.2~2.0倍,才能可靠工作。
(5)通態平均電壓UT(AV)
晶閘管通過正弦半波的額定通態平均電流時,器件陽極A和陰極K間電壓的平均值,一般稱管壓降,約0.8~1V。
(6)維持電流IH
晶閘管從通態到斷態,維持通態的最小通態電流(數十毫安到一百多毫安)。
(7)擎住電流IL
晶閘管從斷態到通態,移去觸發信號,維持晶閘管通態的最小電流(IL>IH)。
(8)門極參數
產品樣本中門極觸發電流IGT,門極觸發電壓UGT是產品合格標準,觸發電路供給的觸發電流和電壓比這個數值大,才能可靠觸發。使用中不能超過門極的峰值電流、峰值電壓、峰值功率和平均功率。
(9)動態參數
斷態電壓臨界上升率du/dt。過大的du/dt會導致PN結J2(它相當于一個電容)產生的充電電流而引起誤導通。對于通態電流臨界上升率di/dt,晶閘管由斷態到通態,首先是由門極G附近小面積范圍內導電后展開,如果di/dt過大將造成局部過熱,損壞器件。
(10)額定結溫TJM
器件正常工作時允許的最高結溫,在此結溫下,有關額定值和特性才能得以保證,因此晶閘管的散熱器選擇和冷卻效果十分重要。
3.3 其它晶閘管
(1)快速晶閘管
快速晶閘管與普通晶閘管結構原理相同,特點是開關時間短,主要用于逆變器、斬波器及頻率為400Hz的變流器,比普通晶閘管反向恢復電流小,關斷時間在10μs以下。
(2)逆導晶閘管
在逆變電路、斬波電路中,常將晶閘管和二極管反向并聯使用,將晶閘管和整流管做成一個器件就是逆導晶閘管,優點是器件數量少、裝置體積小、正向電壓小、關斷時間短等。
(3)雙向晶閘管
雙向晶閘管結構和特性,可以等效為一對反并聯的普通晶閘管。雙向晶閘管常作為UPS的交流開關使用。
(4)門極輔助關斷晶閘管
在晶閘管關斷的同時在門極G與陰極K之間加反壓,把殘留的載流子強迫地吸出來,這樣起到縮短關斷時間的作用,它比快速晶閘管關斷的時間還能縮短一半。
3.4 晶閘管的保護電路
晶閘管的保護電路,大致可以分為兩種情況:一種是在適當的地方安裝保護器件,例如,R-C阻容吸收回路、限流電感、快速熔斷器、壓敏電阻或硒堆等。再一種則是采用電子保護電路,檢測設備的輸出電壓或輸入電流,當輸出電壓或輸入電流超過允許值時,借助整流觸發控制系統使整流橋在短時間內工作于有源逆變工作狀態,從而抑制過電壓或過電流的數值。
(1)晶閘管的過流保護
晶閘管設備產生過電流的原因可以分為兩類:一類是由于整流電路內部原因, 如整流晶閘管損壞、觸發電路或控制系統有故障等。其中整流橋晶閘管損壞較為嚴重, 一般是由于晶閘管因過電壓而擊穿,造成無正、反向阻斷能力,它相當于整流橋臂間發生了永久性短路,使在另外兩橋臂間的晶閘管導通時,無法正常換流,因而產生線間短路引起過電流。另一類則是整流橋負載外電路發生短路而引起的過電流,這類情況時有發生,因為整流橋的負載實質上是逆變橋, 逆變電路換流失敗,就相當于整流橋負載短路。另外,如整流變壓器中心點接地,當逆變負載回路接觸大地時,也會發生整流橋相對地來說就是短路。
①對于第一類過流,即整流橋內部原因引起的過流,以及逆變器負載回路接地時,可以采用第一種保護措施,最常見的就是接入快速熔斷器的方式,如圖7所示(F)??焖偃蹟嗥鞯慕尤敕绞焦灿腥N,其特點和快速熔斷器的額定電流見表2。




②對于第二類過流,即整流橋負載外電路發生短路而引起的過電流,則應當采用電子電路進行保護。常見的電子保護原理如圖8所示。

(2)晶閘管的過壓保護
晶閘管設備在運行過程中,會受到由交流供電電網進入的操作過電壓和雷擊過電壓的侵襲。同時,設備自身運行中以及非正常運行中也有過電壓出現。
①過電壓保護的第一種方法是并接R-C阻容吸收回路,以及用壓敏電阻RV或硒堆等非線性元件加以抑制,如圖9(a)(b)所示。


②過電壓保護的第二種方法是采用電子電路進行保護。常見的電子保護原理如圖10所示。


(3)電流上升率、電壓上升率的抑制保護
①電流上升率di/dt的抑制。晶閘管初開通時電流集中在靠近門極的陰極表面較小的區域,局部電流密度很大,然后以0.1mm/μs的擴展速度將電流擴展到整個陰極面,若晶閘管開通時電流上升率 di/dt過大,會導致PN結擊穿,必須限制晶閘管的電流上升率使其在合適的范圍內,其有效辦法是在晶閘管的陽極回路串入電感,如圖11所示。


②電壓上升率du/dt的抑制。加在晶閘管上的正向電壓上升率du/dt也應有所限制,如果du/dt過大,由于晶閘管結電容的存在而產生較大的位移電流,該電流可以實際上起到觸發電流的作用,使晶閘管正向阻斷能力下降,嚴重時會引起晶閘管誤導通。為抑制du/dt的作用,可以在晶閘管兩端并聯R-C阻容吸收回路,如圖12所示。
3.5 晶閘管損壞原因判別


(1)電壓擊穿。晶閘管因不能承受電壓而損壞,其芯片中有一個光潔的小孔,有時需用放大鏡才能看見。其原因可能是管子本身耐壓下降或被電路斷開時產生的高電壓擊穿。
(2)電流損壞。電流損壞的痕跡特征是芯片被燒成一個凹坑,且粗糙,其位置遠離門極。
(3)電流上升率損壞。其痕跡與電流損壞相同,而其位置在門極附近或就在控制極上。
(4)邊緣損壞。它發生在芯片外圓倒角處,有細小光潔小孔。用放大鏡可看到倒角面上有細細金屬物劃痕,這是制造廠家安裝不慎所造成的,會導致電壓擊穿。
3.6 晶閘管的檢測
(1)單向晶閘管的檢測方法
取萬用表選電阻R×1Ω擋,紅、黑兩表筆分別測任意兩引腳間正反向電阻,直至找出讀數為數十歐姆的一對引腳,此時,黑表筆的引腳為門極G,紅表筆的引腳為陰極K,另一空腳為陽極A。此時將黑表筆接已判斷的陽極A,紅表筆仍接陰極K,此時萬用表指針應不動;用短線瞬間短接陽極A和門極G,此時萬用表電阻擋指針應向右偏轉,阻值讀數為10Ω左右。如陽極A接黑表筆,陰極K接紅表筆時,萬用表指針發生偏轉,說明該單向晶閘管已被擊穿損壞。
(2)雙向晶閘管的檢測
取萬用表電阻R×1Ω擋,用紅、黑兩表筆分別測任意兩引腳間正反向電阻,結果是其中兩組讀數為無窮大。若一組為數十歐姆時,該組紅、黑表所接的兩引腳為第一陽極A1和門極G,另一空腳即為第二陽極A2。確定A1、G極后,再仔細測量A1、G極間正、反向電阻,讀數相對較小的那次測量的黑表筆所接的引腳為第一陽極A1,紅表筆所接引腳為控制極G。將黑表筆接已確定的第二陽極A2,紅表筆接第一陽極A1,此時萬用表指針不應發生偏轉,阻值為無窮大。再用短接線將A2、G極瞬間短接,給G極加上正向觸發電壓,A2、A1間阻值約10Ω左右。隨后斷開A2、G間短接線,萬用表讀數應保持10Ω左右;互換紅、黑表筆接線,紅表筆接第二陽極A2,黑表筆接第一陽極A1。同樣萬用表指針應不發生偏轉,阻值為無窮大。A2、G極間再次瞬間短接,給G極加上負的觸發電壓,A1、A2間的阻值也是10Ω左右。隨后斷開A2、G極間短接線,萬用表讀數應不變,保持在10Ω左右。符合以上規律,說明被測雙向晶閘管未損壞,且三個引腳極性判斷正確。
檢測功率較大的晶閘管時,需要在萬用表黑筆中串接一節1.2V干電池,以提高觸發電壓。
3.7 晶閘管的型號說明
目前國產晶閘管的型號有新頒布和舊頒布的兩種型號,新型號將逐步取代舊型號,如表4所示。
烜芯微專業制造二極管,三極管,MOS管,橋堆等20年,工廠直銷省20%,4000家電路電器生產企業選用,專業的工程師幫您穩定好每一批產品,如果您有遇到什么需要幫助解決的,可以點擊右邊的工程師,或者點擊銷售經理給您精準的報價以及產品介紹
烜芯微專業制造二極管,三極管,MOS管,橋堆等20年,工廠直銷省20%,4000家電路電器生產企業選用,專業的工程師幫您穩定好每一批產品,如果您有遇到什么需要幫助解決的,可以點擊右邊的工程師,或者點擊銷售經理給您精準的報價以及產品介紹

