MOS管
MOS管全稱金屬—氧化物—半導體場效應晶體管或稱金屬—絕緣體—半導體場效應晶體管,英文名metal oxide semiconductor,屬于場效應管中的絕緣柵型,因此,MOS管有時候又稱為絕緣柵場效應管。
MOS管這個器件有兩個電極,分別是漏極D和源極S,無論是圖一的N型還是圖二的P型都是一塊摻雜濃度較低的P型半導體硅襯底上,用半導體光刻、擴散工藝制作兩個高摻雜濃度的N+/P+區,并用金屬鋁引出漏極D和源極S。然后在漏極和源極之間的N/P型半導體表面復蓋一層很薄的二氧化硅(Si02)絕緣層膜,在再這個絕緣層膜上裝上一個鋁電極,作為柵極G。這就構成了一個N/P溝道(NPN型)增強型MOS管。

MOS管工作原理與MOS晶體管的閾值電壓解析
雙極結晶體管是放大輸入電流的微小變化以產生輸出電流的大變化的晶體管。另一種類型的晶體管,稱為場效應晶體管(MOSFET),將輸入電壓的變化轉換為輸出電流的變化,因此FET的增益通過其跨導來測量,跨導定義為輸出電流變化與變化的比率在輸入電壓。電壓施加到稱為其柵極的輸入端子,流過晶體管的電流取決于柵極電壓產生的電場。在柵電極下面放置了絕緣板,因此MOSFET的柵極電流近似為零。
基于在絕緣層下面形成的溝道,MOS管被分類為N溝道晶體管(NMOS)和P溝道晶體管(PMOS)。兩個晶體管的橫截面圖如圖1所示。每個晶體管應具有源極,漏極,柵極和通常稱為體端子的背柵。在NMOS的情況下,通過將N型摻雜劑擴散到P襯底來產生源極和柵極,反之亦然,用于PMOS。MOS晶體管的源極和漏極是可互換的,載流子流出源極并進入漏極。

NMOS晶體管 - 工作原理
下面解釋NMOS管工作原理。MOS晶體管有三個操作區域。
1. 截止區域(V GS TH )
2. 三極管區域(V GS > V TH和V DS DSsat )
3. 飽和區(V GS > V TH和V DS > V DSsat )
最初考慮具有V GS = 0 的Tr ,即沒有施加柵極到源極電壓。它類似于在源極和漏極之間背靠背連接的2個二極管。所以沒有電流從源流到漏極。在源極 - 襯底,漏極 - 襯底連接處也會形成耗盡區。當 V GS 電壓逐漸增加到低于閾值電壓(V TH)時,柵極下方的空穴被排斥以產生耗盡區,并且在源極到漏極的柵極下它變得連續。然后V GS 增加到閾值電壓即V GS > V TH 。此時,P sub中的少數載流子(電子)穿過耗盡區并到達柵極下方。此過程稱為反轉。柵極下方的電子數量取決于電壓V GS - V TH 。
因此,由于該橫向電場而產生導電通道(圖1)。在源極和漏極之間建立通道后,V DS(漏極到源極電壓)從0逐漸增加。當V DS 當漏極相對于源極變得更正時(圖2),漏極將變為正極,子極點會反向偏置,耗盡區變寬,由于這種橫向電場,電流從源極開始流動。漏極和電流隨著V DS的增加而增加。因此,源極處的電位小于源極處的電位,耗盡區域在漏極附近變寬,并且溝道在此逐漸變細。
在V DS = V DSsat 時,溝道剛剛接觸漏極,相應的漏極 - 源極電壓稱為夾斷電壓。高于飽和電壓,電流變得恒定。載體沿著由沿著相對弱的電場推動的通道向下移動。當它們到達夾斷區域的邊緣時,它們被強電場吸過耗盡區域。隨著漏極電壓的增加,溝道兩端的電壓降不會增加; 相反,夾斷區域變寬。因此,漏極電流達到極限并且不再增加。

MOS晶體管的閾值電壓
MOS晶體管的閾值電壓是剛好形成導電溝道所需的柵極 - 源極偏置電壓,其中晶體管的背柵(體)連接到源極。如果柵極 - 源極偏置(V GS)小于閾值電壓,則不形成溝道。給定晶體管呈現的閾值電壓取決于許多因素,包括背柵極摻雜,電介質厚度,柵極材料和電介質中的過量電荷。將簡要檢查這些影響中的每一個。
背柵摻雜對閾值電壓有重要影響。如果背柵更重摻雜,那么反轉以形成通道變得更加困難。因此需要更強的電場來實現反轉,并且閾值電壓增加??梢酝ㄟ^在柵極電介質下方進行淺注入來摻雜溝道區域來調整MOS晶體管的背柵摻雜。這種類型的植入物稱為閾值調節植入物(或V TH 調節植入物)。
考慮V TH 調節注入對NMOS晶體管的影響。如果植入物由受體組成,則硅表面變得更難以反轉并且閾值電壓增加。如果植入物由供體組成,則表面變得更容易反轉并且閾值降低。如果注入足夠的施主,則硅的表面實際上可以成為反摻雜的。在這種情況下,薄的N型硅層在零柵極偏壓下形成永久溝道。隨著柵極偏壓的增加,溝道變得更強烈地反轉。隨著柵極偏壓的減小,溝道的反轉變得不那么強烈,并且在某些時候它會消失。
閾值電壓也由在柵電極下方使用的電介質確定。較厚的電介質通過將電荷分開更大的距離來削弱電場。因此,較厚的電介質增加閾值電壓,而較薄的電介質減小閾值電壓。理論上,電介質的材料也會影響電場。實際上,幾乎所有MOS晶體管都使用純二氧化硅作為柵極電介質??梢灾圃鞓O薄的SiO 2 層,具有純度和均勻性。因此,替代的介電材料在使用中非常罕見。
柵電極材料也影響晶體管的閾值電壓。在施加電壓時,電場由柵極和背柵材料之間的功函數的差異產生。最常見的重摻雜多晶硅用作柵電極。通過改變摻雜,多晶硅的功函數可以改變到某種程度。在柵極氧化物中或沿著氧化物和多晶硅表面之間的界面存在過量電荷也是影響閾值電壓的主要因素。這些電荷可以是電離的雜質原子,捕獲的載流子或結構缺陷。這些電荷的存在將改變電場,從而改變閾值電壓。如果捕獲的電荷量隨時間,溫度或施加的偏壓而變化,則閾值電壓也將變化。
該NMOS晶體管的閾值電壓實際上是負的。這種晶體管稱為耗盡型NMOS,或簡稱為耗盡型NMOS。相反,具有正閾值電壓的NMOS被稱為增強型NMOS或增強型NMOS。大多數商業制造的MOS晶體管是增強型器件,但是有一些應用需要耗盡型器件。還可以構建耗盡型PMOS。這種器件將具有正閾值電壓。
MOS晶體管的閾值電壓輸出特點
邏輯閾值電壓
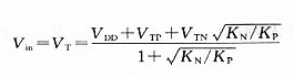
由于邏輯閾值電壓是式(10.1)中的-IDS與式(10.2)中的IDS相等時的電壓,所以應用這個關系能夠求得Vin:

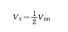
假如KN=Kp,即KN/KP=1,經過選擇恰當的p溝MOS晶體管與n溝MOS晶體管的參數,可以完成|VTP|=|VTN|,那么作為反相器,當然就能夠得到如下理想的關系:

實踐上,這樣的理想狀態是不存在的。在版圖設計中,經過設計恰當的p溝MOS晶體管與n溝MOS晶體管的W/L比,盡可能使VTP與VTN相等,能夠得到接近1/2VDD的邏輯閾值電壓。

烜芯微專業制造二極管,三極管,MOS管,橋堆等20年,工廠直銷省20%,4000家電路電器生產企業選用,專業的工程師幫您穩定好每一批產品,如果您有遇到什么需要幫助解決的,可以點擊右邊的工程師,或者點擊銷售經理給您精準的報價以及產品介紹

