PNP型半導體三極管和NPN型半導體三極管的基本工作原理完全一樣,下面以NPN型半導體三極管為例來說明其內部的電流傳輸過程,進而介紹它的工作原理。半導體三極管常用的連接電路如圖15-3(a)所示。半導體三極管內部的電流傳輸過程如圖15-3(b)所示。半導體三極管中的電流傳輸可分為三個階段。
1、發射區向基區發射電子
電源接通后,發射結為正向連接。在正向電場作用下,發射區的多數載流子(電子)的擴散運動加強。因此,發射區的電子很容易在外電場的作用下越過發射結進入基區,形成電子流IEN(注意電流的方向與電子運動的方向相反)。當然,基區的多數載流子(空穴)也會在外電場的作用下流向發射區,形成空穴電流IEP。但由于基區的雜質濃度很低,與從發射區來的電子流相比,
IEP可以忽略不計,所以發射極電流為:


2、電子在基區中的擴散與復合
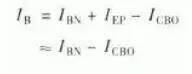
從發射區擴散到基區的電子到達基區后,由于基區靠發射區的一側電子濃度較大,靠集電區一側電子濃度較小.所以電子繼續向集電區擴散。在擴散過程中,電子有可能與基區的空六相遇而復合,基極電源、EB不斷提供空穴,這就形成了基極電流IBN。由于基區很薄,而空穴濃度低,電子與空穴復合的機會很少,大部分電子繼續向集電區擴散。此外,半導體三極管工作時,集電結為反向連接,在反向電場作用下,基區與集電區之間少數載流子的漂移運動加強c因基區載流子很少.電子更少,故漂移運動主要是集電區的空穴流向基區。漂移運動形成的電流ICBO的數值很小,而且與外加電場的大小關系不大,它被稱為集電極反向飽和電流因此,基極電流為:


3、集電極電流的形成
由于集電結加的是反向電場,經過基區繼續向集電區方向擴散的電子是逆電場方向的,所以受到拉力,加速流向集電區.形成電子流ICN。如果考慮集電極飽和電流ICBO的影響,集電極電流應為:
從半導體三極管外電路看,流入管子的電流必須等于流出的電流,所以
從半導體三極管電流傳輸過程中可以看出,集電極電流IC很大,而基極電流IB很小。另外,由于三極管本身的結構已定,所以IC和IB在相當大的一個范圍內總存在一個固定的比例關系,即


其中β表示IC與IB的關系.稱為共發射極的直流放大系數,β大于1,一般為20-200。
由于IC和IB存在一定的比例關系,而且IE=lC+IB,所以半導體三極管起著一種電流分配器的作用,即把發射極電流IE按一定的分配關系分成IC和IB。IC遠大于IB。因存在這種分配關系,所以只要使IB略有增加,IC就會增加很多,這就起到了放大作用。
烜芯微專業制造二極管,三極管,MOS管,橋堆等20年,工廠直銷省20%,4000家電路電器生產企業選用,專業的工程師幫您穩定好每一批產品,如果您有遇到什么需要幫助解決的,可以點擊右邊的工程師,或者點擊銷售經理給您精準的報價以及產品介紹
烜芯微專業制造二極管,三極管,MOS管,橋堆等20年,工廠直銷省20%,4000家電路電器生產企業選用,專業的工程師幫您穩定好每一批產品,如果您有遇到什么需要幫助解決的,可以點擊右邊的工程師,或者點擊銷售經理給您精準的報價以及產品介紹

