三極管除了可以當做交流信號放大器之外,也可以做為開關之用。嚴格說起來,三極管與一般的機械接點式開關在動作上并不完全相同,但是它卻具有一些機械式開關所沒有的特點。圖1所示,即為三極管電子開關的基本電路圖。
由下圖可知,負載電阻被直接跨接于三極管的集電極與電源之間,而位居三極管主電流的回路上,


圖1 基本的三極管開關
輸入電壓Vin則控制三極管開關的開啟(open) 與閉合(closed) 動作,當三極管呈開啟狀態時,負載電流便被阻斷,反之,當三極管呈閉合狀態時,電流便可以流通。詳細的說,當Vin為低電壓時,由于基極沒有電流,因此集電極亦無電流,致使連接于集電極端的負載亦沒有電流,而相當于開關的開啟,此時三極管乃勝作于截止(cut off)區。
同理,當Vin為高電壓時,由于有基極電流流動,因此使集電極流過更大的放大電流,因此負載回路便被導通,而相當于開關的閉合,此時三極管乃勝作于飽和區(saturation)。
一、三極管開關電路的分析設計
由于對硅三極管而言,其基射極接面之正向偏壓值約為0.6伏特,因此欲使三極管截止,Vin必須低于0.6伏特,以使三極管的基極電流為零。通常在設計時,為了可以更確定三極管必處于截止狀態起見,往往使Vin值低于 0.3伏特。 (838電子資源)當然輸入電壓愈接近零伏特便愈能保證三極管開關必處于截止狀態。欲將電流傳送到負載上,則三極管的集電極與射極必須短路,就像機械開關的閉合動作一樣。欲如此就必須使Vin達到夠高的準位,以驅動三極管使其進入飽和工作區工作,三極管呈飽和狀態時,集電極電流相當大,幾乎使得整個電源電壓Vcc均跨在負載電阻上,如此則VcE便接近于0,而使三極管的集電極和射極幾乎呈短路。在理想狀況下,根據奧姆定律三極管呈飽和時,其集電極電流應該為﹕


因此,基極電流最少應為:


(式1)
上式表出了IC和IB之間的基本關系,式中的β值代表三極管的直流電流增益,對某些三極管而言,其交流β值和直流β值之間,有著甚大的差異。欲使開關閉合,則其Vin值必須夠高,以送出超過或等于(式1) 式所要求的最低基極電流值。由于基極回路只是一個電阻和基射極接面的串聯電路,故Vin可由下式來求解﹕


(式2)
一旦基極電壓超過或等于(式2) 式所求得的數值,三極管便導通,使全部的供應電壓均跨在負載電阻上,而完成了開關的閉合動作。
總而言之,三極管接成圖1的電路之后,它的作用就和一只與負載相串聯的機械式開關一樣,而其啟閉開關的方式,則可以直接利用輸入電壓方便的控制,而不須采用機械式開關所常用的機械引動(mechanical actuator)﹑螺管柱塞(solenoid plunger)或電驛電樞(relay armature)等控制方式。
為了避免混淆起見,本文所介紹的三極管開關均采用NPN三極管,當然NPN三極管亦可以被當作開關來使用,只是比較不常見罷了。
例題1
試解釋出在圖2的開關電路中,欲使開關閉合(三極管飽和) 所須的輸入電壓為何﹖并解釋出此時之負載電流與基極電流值﹖
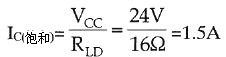
解﹕由2式可知,在飽和狀態下,所有的供電電壓完全跨降于負載電阻上,因此


由方程式(1) 可知


因此輸入電壓可由下式求得﹕




圖2 用三極管做為燈泡開關
由例題1-1得知,欲利用三極管開關來控制大到1.5A的負載電流之啟閉動作,只須要利用甚小的控制電壓和電流即可。此外,三極管雖然流過大電流,卻不須要裝上散熱片,因為當負載電流流過時,三極管呈飽和狀態,其VCE趨近于零,所以其電流和電壓相乘的功率之非常小,根本不須要散熱片。
二、三極管開關與機械式開關的比較
截至目前為止,我們都假設當三極管開關導通時,其基極與射極之間是完全短路的。事實并非如此,沒有任何三極管可以完全短路而使VCE=0,大多數的小信號硅質三極管在飽和時,VCE(飽和) 值約為0.2伏特,縱使是專為開關應用而設計的交換三極管,其VCE(飽和) 值頂多也只能低到0.1伏特左右,而且負載電流一高,VCE(飽和) 值還會有些許的上升現象,雖然對大多數的分析計算而言,VCE(飽和) 值可以不予考慮,但是在測試交換電路時,必須明白VCE(飽和) 值并非真的是0。
雖然VCE(飽和)的電壓很小,本身微不足道,但是若將幾個三極管開關串接起來,其總和的壓降效應就很可觀了,
不幸的是機械式的開關經常是采用串接的方式來工作的,如圖3(a)所示,三極管開關無法模擬機械式開關的等效電路(如圖3(b)所示)來工作,這是三極管開關的一大缺點。


圖3 三極管開關與機械式開關電路
幸好三極管開關雖然不適用于串接方式,卻可以完美的適用于并接的工作方式,如圖4所示者即為一例。
三極管開關和傳統的機械式開關相較,具有下列四大優點﹕


圖4三極管開關之并聯聯接
(1)三極管開關不具有活動接點部份,因此不致有磨損之慮,可以使用無限多次,一般的機械式開關,由于接點磨損,頂多只能使用數百萬 次左右,而且其接點易受污損而影響工作,因此無法在臟亂的環境下運作,三極管開關既無接點又是密封的,因此無此顧慮。
(2)三極管開關的動作速度較一般的開關為快,一般開關的啟閉時間是以毫秒 (ms)來計算的,三極管開關則以微秒(μs)計。
(3)三極管開關沒有躍動(bounce) 現象。一般的機械式開關在導通的瞬間會有快速的連續啟閉動作,然后才能逐漸達到穩定狀態。
(4)利用三極管開關來驅動電感性負載時,在開關開啟的瞬間,不致有火花產生。反之,當機械式開關開啟時,由于瞬間切斷了電感性負載樣 上的電流,因此電感之瞬間感應電壓,將在接點上引起弧光,這種電弧非但會侵蝕接點的表面,亦可能造成干擾或危害。
三、三極管開關的測試
三極管開關不像機械式開關可以光憑肉眼就判斷出它目前的啟閉狀態,因此必須利用電表來加以測試。在圖5所示的標準三極管開關電路中,當開關導通時,VEC的讀值應該為0,反之當開關切斷時,VCE應對于VCC。
三極管開關在切斷的狀況下,由于負載上沒有電流流過,因此也沒有壓降,所以全部的供應電壓均跨降在開關的兩端,因此其VCE值應等于VCC,這和機械式開關是完全相同的。如果開關本身應導通而未導通,那就得測試Vin的大小了。欲保證三極管導通,其基極的Vin電壓值就必須夠高,如果Vin值過低,則問題就出自信號源而非三極管本身了。假使在Vin的準位夠高,驅動三極管導通絕無問題時,而負載卻仍未導通,那就要測試電源電壓是否正常了。
在導通的狀態下,硅三極管的VBE值約為0.6伏特,假使Vin值夠高,而VBE值卻高于和低于0.6伏特,例如VBE為1.5伏特或0.2伏特,這表示基射極接面可能已經損壞,必須將三極管換掉。當然這一準則也未必百分之百正確,許多大電流額定的功率三極管,其VBE值經常是超過1伏特的,因此即使VBE的讀值達到1.5伏特,也未必就能肯定三極管的接面損壞,這時候最好先查閱三極管規格表后再下斷言。
一旦VBE正常且有基極電流流動時,便必須測試VCE值,假使VCE趨近于VCC,就表示三極管的集基接面損壞,必須換掉三極管。假使VCE趨近于零伏特,而負載仍未導通,這可能是負載本身有開路現象發生,因此必須檢換負載。


圖5 三極管開關電路,各主要測試電的電壓圖
當Vin降為低電壓準位,三極管理應截止而切斷負載,如果負載仍舊未被切斷,那可能是三極管的集基極和集射極短路,必須加以置換。
第二節 基本三極管開關之改進電路
有時候,我們所設定的低電壓準位未必就能使三極管開關截止,尤其當輸入準位接近0.6伏特的時候更是如此。想要克服這種臨界狀況,就必須采取修正步驟,以保證三極管必能截止。圖6就是針對這種狀況所設計的兩種常見之改良電路。


圖6 確保三極管開關動作,正確的兩種改良電路
圖6(a) 的電路,在基射極間串接上一只二極管,因此使得可令基極電流導通的輸入電壓值提升了0.6伏特,如此即使Vin值由于信號源的誤動作而接近0.6伏特時,亦不致使三極管導通,因此開關仍可處于截止狀態。圖6(b)的電路加上了一只輔助-截止(hold-off)電阻R2,適當的R1,R2及Vin值設計,可于臨界輸入電壓時確保開關截止。由圖6(b)可知在基射極接面未導通前(IB0),R1和R2形成一個串聯分壓電路,因此R1必跨過固定(隨Vin而變) 的分電壓,所以基極電壓必低于Vin值,因此即使Vin接近于臨界值(Vin=0.6伏特) ,基極電壓仍將受連接于負電源的輔助-截止電阻所拉下,使低于0.6伏特。由于R1,R2及VBB值的刻意設計,只要Vin在高值的范圍內,基極仍將有足夠的電壓值可使三極管導通,不致受到輔助-截止電阻的影響。
加速電容器(speed-up capacitors)
在要求快速切換動作的應用中,必須加快三極管開關的切換速度。圖7為一種常見的方式,此方法只須在RB電阻上并聯一只加速電容器,如此當Vin由零電壓往上升并開始送電流至基極時,電容器由于無法瞬間充電,故形同短路,然而此時卻有瞬間的大電流由電容器流向基極,因此也就加快了開關導通的速度。稍后,待充電完畢后,電容就形同開路,而不影響三極管的正常工作。


圖7 加了加速電容器的電路
一旦輸入電壓由高準位降回零電壓準位時,電容器會在極短的時間內即令基射極接面變成反向偏壓,而使三極管開關迅速切斷,這是由于電容器的左端原已充電為正電壓,如圖6-9所示,因此在輸入電壓下降的瞬間,電容器兩端的電壓無法瞬間改變仍將維持于定值,故輸入電壓的下降立即使基極電壓隨之而下降,因此令基射極接面成為反向偏壓,而迅速令三極管截止。適當的選取加速電容值可使三極管開關的切換時間減低至幾十分之微秒以下,大多數的加速電容值約為數百個微微法拉(pF) 。
有時候三極管開關的負載并非直接加在集電極與電源之間,而是接成圖8的方式,這種接法和小信號交流放大器的電路非常接近,只是少了一只輸出耦合電容器而已。這種接法和正常接法的動作恰好相反,當三極管截止時,負載獲能,而當三極管導通時,負載反被切斷,這兩種電路的形式都是常見的,因此必須具有清晰的分辨能力。


圖8 將負載接于三極管開關電路的改進接法
圖騰式開關(Totem-pole switches)
假使圖8的三極管開關加上了電容性負載(假定其與RLD并聯) ,那么在三極管截止后,由于負載電壓必須經由RC電阻對電容慢慢充電而建立,因此電容量或電阻值愈大,時間常數(RC) 便愈大,而使得負載電壓之上升速率愈慢,在某些應用中,這種現象是不容許的,因此必須采用圖9的改良電路。


圖9 圖騰式三極管開關
圖騰式電路是將一只三極管直接迭接于另一三極管之上所構成的,它也因此而得名。欲使負載獲能,必須使Q1三極管導通,同時使Q2三極管截斷,如此負載便可經由Q1而連接至VCC上,欲使負載去能,必須使Q1三極管截斷,同時使Q2三極管導通,如此負載將經由Q2接地。由于Q1的集電極除了極小的接點電阻外,幾乎沒有任何電阻存在(如圖9所示) ,因此負載幾乎是直接連接到正電源上的,也因此當Q1導通時,就再也沒有電容的慢速充電現象存在了。所以可說Q1“將負載拉起”,而稱之為“挽起(pull up) 三極管”,Q2則稱為“拉下(pull down) 三極管”。圖9左半部的輸入控制電路,負責Q1和Q2三極管的導通與截斷控制,但是必須確保Q1和Q2使不致同時導通,否則將使VCC和地之間經由Q1和Q2而形同短路,果真如此,則短路的大電流至少將使一只三極管燒毀。因此圖騰式三極管開關絕對不可如圖6-4般地采用并聯方式來使用,否則只要圖騰上方的三極管Q1群中有任一只導通,而下方的Q2群中又恰好有一只導通,電源便經由導通之Q1和Q2短路,而造成嚴重的后果。
第三節 三極管開關之應用
晶體管開關最常見的應用之一,是用以驅動指示燈,利用指示燈可以指示電路某特定點的動作狀況,亦可以指示馬達的控制器是否被激勵,此外亦可以指示某一限制開關是否導通或是某一數字電路是否處于高電位狀態。
舉例而言,圖10(a)即是利用晶體管開關來指示一只數字正反器(flip-flop)的輸出狀態。假使正反器的輸出為高準位(一般為5伏特) ,晶體管開關便被導通,而令指示燈發亮,因此操作員只要一看指示燈,便可以知道正反器目前的工作狀況,而不須要利用電表去檢測。
有時信號源(如正反器)輸出電路之電流容量太小,不足以驅動晶體管開關,此時為避免信號源不勝負荷而產生誤動作,便須采用圖10(b) 所示的改良電路,當輸出為高準位時,先驅動射極隨耦晶體管Q1做電流放大后,


(a) 基本電路圖 (b) 改良電路
圖10 指示燈驅動器
再使Q2導通而驅動指示燈,由于射極隨耦級的輸入阻抗相當高,因此正反器之須要提供少量的輸入電流,便可以得到滿意的工作。
數字顯示器圖10(a)之電路經常被使用于數字顯示器上。
利用三極管開關做為不同電壓準位之界面電路
在工業設備中,往往必須利用固態邏輯電路來擔任控制的工作,有關數字邏輯電路的原理,將在下一章詳細加以介紹,在此為說明界面電路起見,先將工業設備的控制電路分為三大部份﹕(1)輸入部份,(2)邏輯部份,(3)輸出部份。
為達到可靠的運作,工業設備的輸入與輸出部份通常工作于較高的電壓準位,一般為220伏特。而邏輯部份卻是操作于低電壓準位的,為了使系統正常工作,便必須使這兩種不同的電壓準位之間能夠溝通,這種不同電壓間的匹配工作就稱做界面(interface)問題。擔任界面匹配工作的電路,則稱為界面電路。三極管開關就經常被用來擔任此類工作。
圖11利用三極管開關做為由高壓輸入控制低壓邏輯的界面電路之實例,當輸入部份的微動開關閉合時,降壓變壓器便被導通,而使全波整流濾波電路送出低壓的直流控制信號,此信號使三極管導通,此時集電極電壓降為0(飽和)伏特,此0伏特信號可被送入邏輯電路中,以表示微動開關處于閉合狀態。
反之,若微動開關開啟,變壓器便不通電,而使三極管截止,此時集電極電壓便上升至VCC值,此一VCC信號,可被送入邏輯電路中,藉以表示微動開關處于開啟狀態。在圖11之中,邏輯電路被當作三極管的負載,連接于集電極和地之間(如圖11) ,因此三極管開關電路的R1,R2和RC值必須慎加選擇,以保證三極管只工作于截止區與飽和區,而不致工作于主動(線性) 區內。
圖11三極管開關當作輸入部份與邏輯部份之間的界面


圖11
烜芯微專業制造二極管,三極管,MOS管,橋堆等20年,工廠直銷省20%,4000家電路電器生產企業選用,專業的工程師幫您穩定好每一批產品,如果您有遇到什么需要幫助解決的,可以點擊右邊的工程師,或者點擊銷售經理給您精準的報價以及產品介紹
烜芯微專業制造二極管,三極管,MOS管,橋堆等20年,工廠直銷省20%,4000家電路電器生產企業選用,專業的工程師幫您穩定好每一批產品,如果您有遇到什么需要幫助解決的,可以點擊右邊的工程師,或者點擊銷售經理給您精準的報價以及產品介紹

